联投集团2019年度工程技术中、初级职务任职资格评审结果公示
发布时间:2019-11-25 18:00
来源:湖北省联合发展投资集团
点击量:
根据湖北省联合发展投资集团有限公司工程技术中级职务任职资格评审委员会(以下简称“联投集团中评委”)工作安排,联投集团中评委已组织开展了2019年度工程技术中、初级职务任职资格评审。
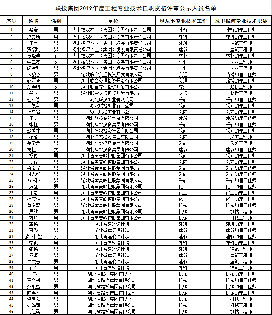
本次职称评审共涉及建筑、交通、机械、水利电力、化工、采矿、林业七大类,建筑工程、市政工程、工程管理、给水排水、建筑设计、建筑结构、建筑施工、工程造价、岩土工程、路桥、仪表、机电、采选矿、林学、化工工艺等15个专业,184人通过评审,现将考核确认通过人员(名单附后)进行公示。公示时间为5天(2019年11月25日至11月29日)。公示期间如对公示结果有异议,可通过电话、短信、邮箱方式向联投集团工程技术中级职务任职资格评审委员会反映。反映情况要坚持实事求是的原则,以便调查核实。
联系电话:027-81737765
邮箱:HR_ltjt@126.com
附件:联投集团2019年度工程专业技术任职资格评审公示人员名单
湖北省联合发展投资集团有限公司
工程技术中级职务任职资格评审委员会
2019年11月25日
附件:
相关推荐
-
“一揽子”合作走出央地合作新路径 太阳成集团tyc122cc、长江电力签订战略合作协议2023-01-11
-
-
董卫民调研太阳成集团tyc122cc时要求:探索转型升级路径 推动房地产市场健康发展2022-12-14
-
关于做好2022年服务业小微企业和个体工商户房屋租金减免工作的通知2022-11-30
-
联投汉江中层管理岗位竞聘和一般管理岗位招聘开始啦!2022-10-21